中国共青团
湖北共青团
中国青年报
首页
单位概况
通知公告
规章制度
信息公开
常用下载
首页
单位概况
基本情况
机构设置
人员分工
计划总结
内部规范
办事流程
工作清单
通知公告
规章制度
国家级
省级
校级
信息公开
常用下载
单位概况
基本情况
机构设置
人员分工
计划总结
内部规范
办事流程
工作清单
当前位置:
首页
>
单位概况
>
办事流程
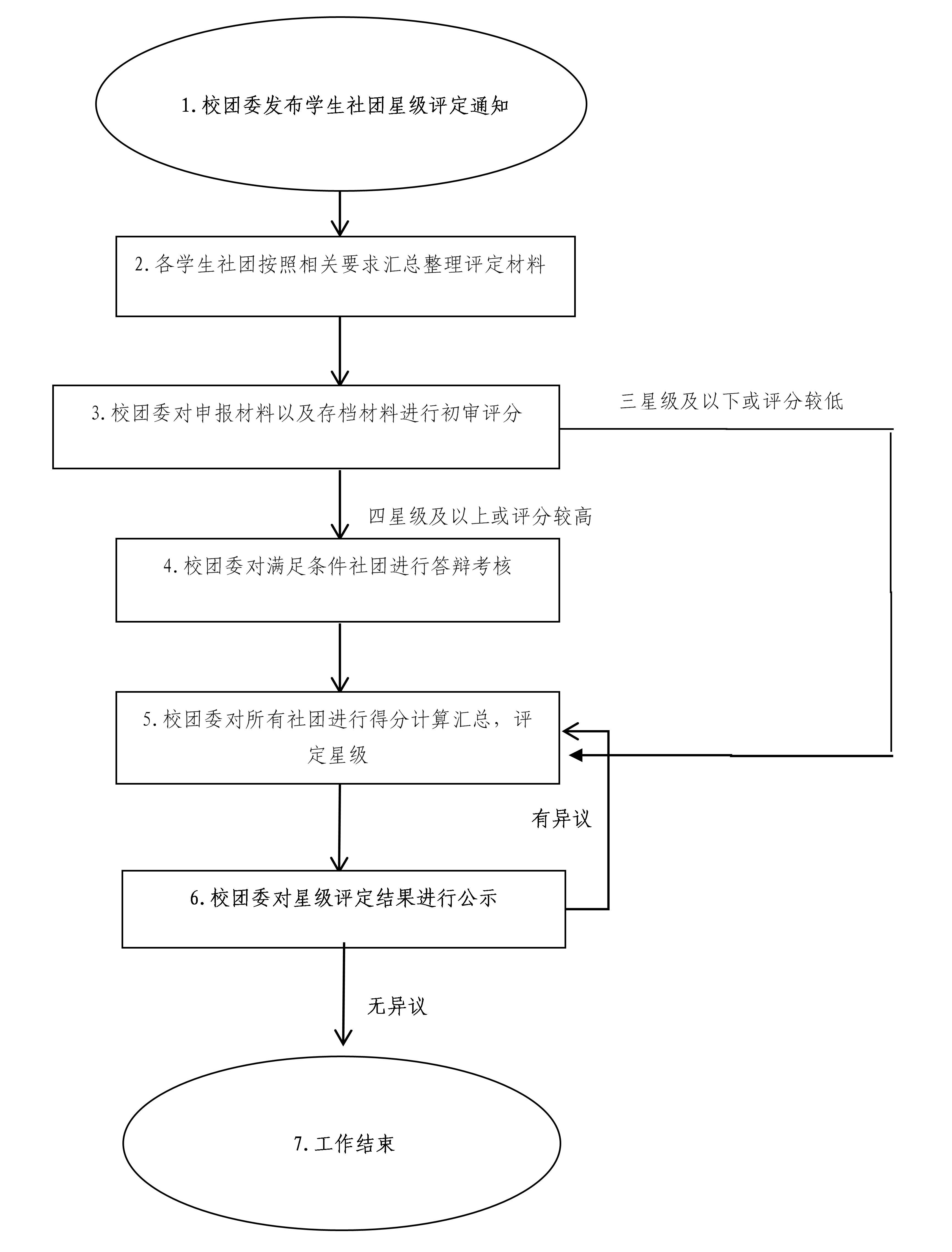
办事流程——学生社团管理
发布日期:2025-10-25
地址:湖北省武汉市洪山区武汉理工大学南湖校区立德楼
邮编:430070
邮箱:whuttwbgs@163.com
版权所有 © 共青团武汉理工大学委员会